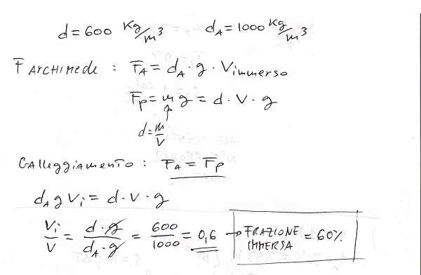
Forza di Archimede – Esercizio 2 Un tronco di legno avente la densità di 600 Kg/m3 è immerso in acqua. Calcolare la frazione di volume del tronco immersa.