Forza di Archimede – Esercizio 3

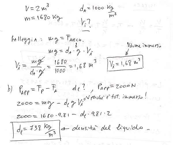
Un corpo avente il volume di 2 m3 ed una massa di 1680 Kg è immerso in acqua. a) Calcolare il volume immerso del corpo. b) Calcolare la densità di un liquido nel quale il corpo totalmente immerso assume il peso apparente di 2000 N.

forza 2Bdi 2Barchimede 2Besercizio 2B3

Lascia un commento

Il tuo indirizzo email non sarà pubblicato. I campi obbligatori sono contrassegnati *