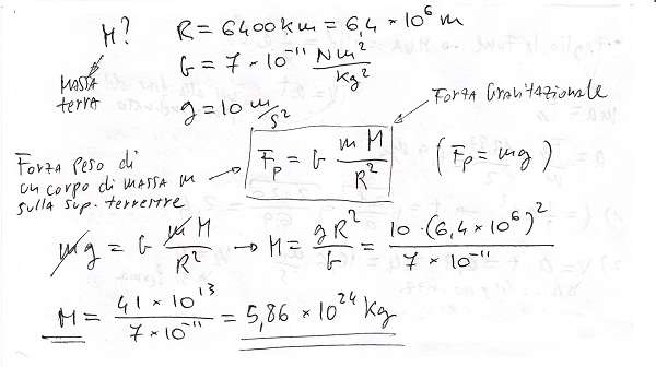
Forza gravitazionale – Esercizio 1 Calcolare la massa della terra assumendo che il raggio della terra sia circa 6400 Km, la costante di gravitazione universale, 7*10-11Nm2/Kg2 e l’accelerazione di gravità 10 m/s2.