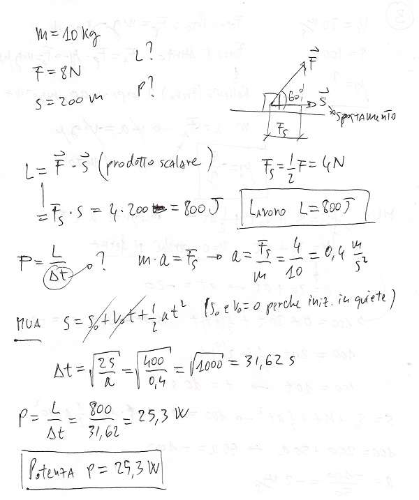
Su un corpo di massa pari a 10 kg posto su un piano orizzontale e inizialmente in quiete, viene applicata una forza costante verso l’alto di 8 N inclinata di 60° rispetto allo spostamento. Se il corpo subisce uno spostamento di 200 m si determini il lavoro della forza e la potenza sviluppata.

perché la forza è cambiata da 8 a 4?
perche’ il coseno di 60 gradi e’ 1/2