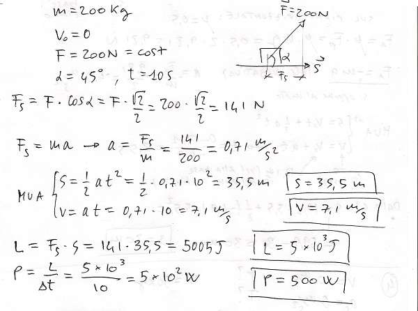
Su un corpo di massa pari a 200 kg, inizialmente fermo, viene applicata una forza costante di 200N, che forma un angolo di 45 ° con lo spostamento. a)Si determini lo spostamento subito dal corpo in 10s e la velocità raggiunta. b) Si calcoli, inoltre, il lavoro della forza e la potenza sviluppata.
