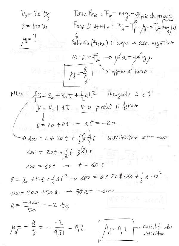
Un corpo avente la velocità iniziale di 20 m/s incontra un piano orizzontale avente una superficie scabra. Calcolare il valore del coefficiente di attrito che consente al corpo di arrestarsi in 100 m.
3 thoughts on “Moti e attrito – Esercizio 1”
ciao albert, scusa potresti spiegarmi l’ultimo passaggio?? non capisco come ti trovi 0,2! Grazie in anticipo!
ciao albert, scusa potresti spiegarmi l’ultimo passaggio?? non capisco come ti trovi 0,2!
Grazie in anticipo!
coeff attrito = -a/g (è spiegato all’inizio)
quindi -(-2)/9,81 = 0,2
L’accelerazione si può ricavare più velocemente usando la formula:
v²=v²ₒ+2a(x-xₒ)