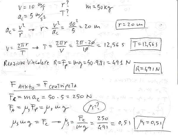
Un punto materiale si muove su di una circonferenza di moto circolare uniforme con una velocità di 10 m/s ed un’accelerazione centripeta di 5m/s2 . Calcolare il raggio della circonferenza ed il periodo del punto materiale. b) Calcolare il coefficiente di attrito statico e la reazione vincolare del piano orizzontale su cui si muove il punto materiale assumendo che il punto materiale abbia la massa di 50Kg.

Il 27 luglio c’è stato un grosso problema tecnico con le immagini presenti sul sito, è in corso il ripristino completo. Sulla Home Page c’è la comunicazione ufficiale.
come mai non riesco a vedere più le soluzioni ?
come mai non riesco a vedere più le soluzioni ?