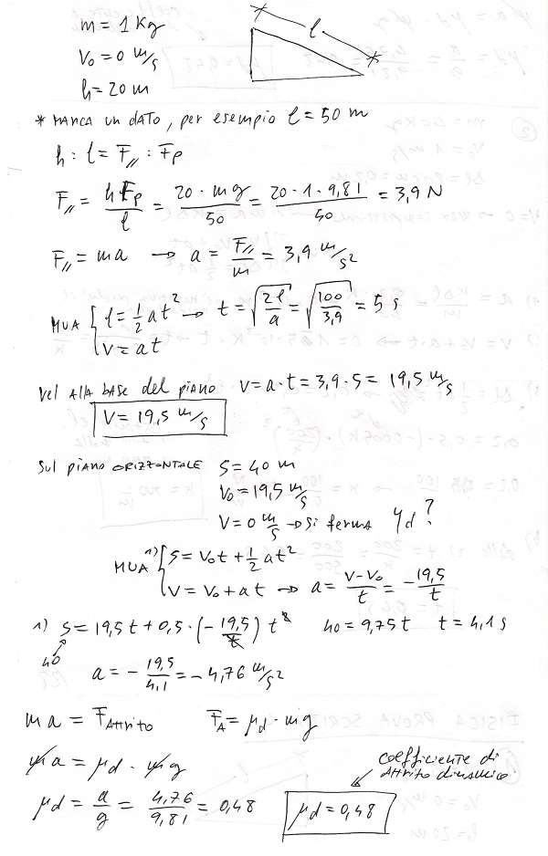
Un blocco di massa m=1Kg parte da fermo da un’altezza di 20 m e scende in assenza di attrito lungo un piano inclinato. Successivamente striscia per 40 m su un piano orizzontale con attrito prima di fermarsi. a) Determinare la velocità del blocco ai piedi del piano inclinato. b) Determinare il coefficiente di attrito dinamico sul piano orizzontale.

scusami conoscendo un cateto e l’angolo retto, non possiamo calcolarci l’ipotenusa con funzioni sie e cos?