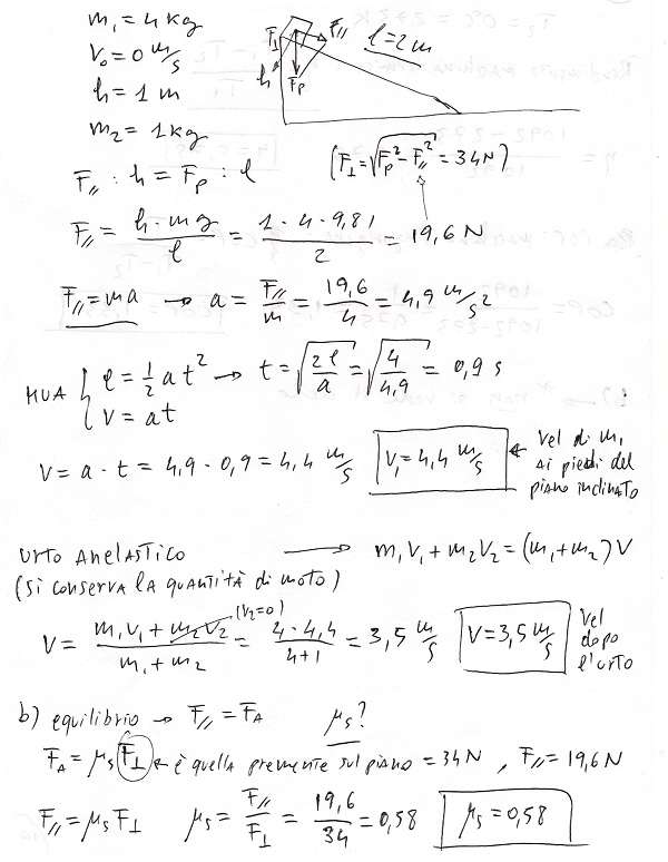
Un corpo avente una massa m1=4kg parte da fermo da un’altezza di 1m e scivola senza attrito lungo un piano inclinato. Successivamente prosegue il suo moto senza attrito su un piano orizzontale ed urta in modo completamente anelastico un altro corpo inizialmente fermo avente una massa m2=1kg. a) Calcolare la velocità della massa m1 ai piedi del piano inclinato e la velocità delle due masse dopo l’urto. b) Nell’ipotesi che il piano inclinato sia lungo 2m a partire dalla posizione iniziale del corpo, calcolare quanto deve valere il coefficiente di attrito se si vuole che il corpo resti fermo.
