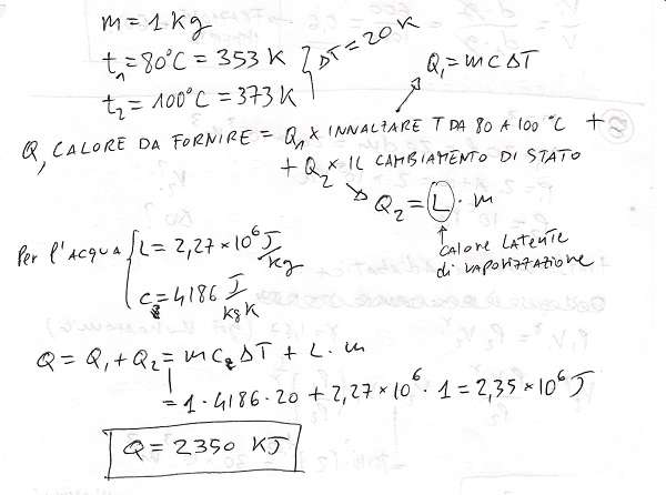
Cambiamenti di stato – Esercizio 1 Calcolare la quantità di calore che bisogna fornire ad una massa di 1Kg d’acqua alla temperatura di 80° C per trasformarla totalmente in vapore alla temperatura di 100 °C.