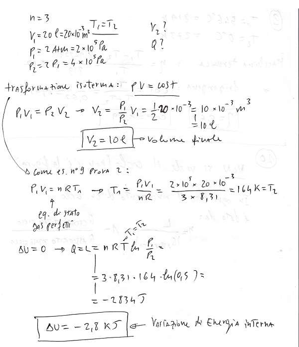
Tre moli di gas perfetto occupano il volume di 20 l alla pressione di 2 atm. Sapendo che il gas raddoppia la sua pressione isotermicamente, calcolare il volume finale ed il calore scambiato durante la trasformazione.
One thought on “Termodinamica – Esercizio 3”
Cosa sta a significare quel’ In davanti alla frazione, qul’è il suo valore?
Cosa sta a significare quel’ In davanti alla frazione, qul’è il suo valore?