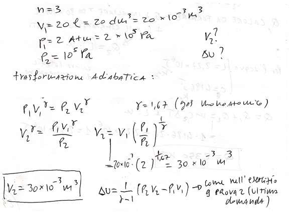
Termodinamica – Esercizio 4 Tre moli di gas perfetto occupano il volume di 20 l alla pressione di 2 atm. Sapendo che il gas dimezza la sua pressione adiabaticamente, calcolare il volume finale ed la variazione di energia interna.