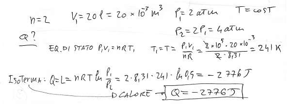
Termodinamica – Esercizio 6 Due moli di gas perfetto occupano il volume di 20 l alla pressione di 2 atm. Sapendo che il gas raddoppia la sua pressione isotermicamente, calcolare il calore scambiato durante la trasformazione.