se dici che è una cosa è sbagliata lo devi dimostrare, picio =)
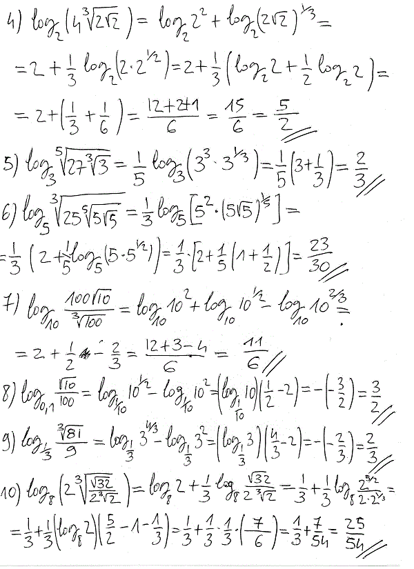
Ciao Albert, vorrei chiederti come fai a trovarti nell’esercizio 4 il risultato 5/2 e nell’esercizio 5 il risultato 2/3. In entrambi c’è un prodotto ma da una parte fai il l’mcm e dall’altra fai il prodotto tra frazioni.
In base a quale criterio hai eseguito questi passaggi? Grazie mille.
Ciao Albert, mi potresti spiegare per favore perché agli esercizi 8 e 9 aggiungi quel meno che cambia il segno del risultato. Inoltre mi potresti svolgere passaggio per passaggio l’esercizio 10. P.s.parliamo della batteria 10. Grazie in anticipo!
Ciao Albert, perché 1/6 nell’esercizio 4
Il n.10 è sbagliato
se dici che è una cosa è sbagliata lo devi dimostrare, picio =)
Ciao Albert, vorrei chiederti come fai a trovarti nell’esercizio 4 il risultato 5/2 e nell’esercizio 5 il risultato 2/3. In entrambi c’è un prodotto ma da una parte fai il l’mcm e dall’altra fai il prodotto tra frazioni.
In base a quale criterio hai eseguito questi passaggi? Grazie mille.
Ciao Albert, nell’esercizio 10 come faccio a ricavare 1/3 dal log in base 8 di 2?
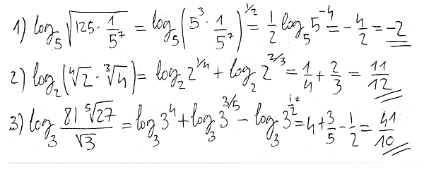
ma l’esercizio n1 alla fine come fa a diventare -4? Grazie:)
Grazie mille, ora ho capito! Ottimo lavoro Thanks;)
Ciao Albert, mi potresti spiegare per favore perché agli esercizi 8 e 9 aggiungi quel meno che cambia il segno del risultato. Inoltre mi potresti svolgere passaggio per passaggio l’esercizio 10.
P.s.parliamo della batteria 10.
Grazie in anticipo!
– perchè log in base 1/10 di 10 è -1, e log in base 1/3 di 3 è sempre -1.
– Tutti non riesco, se ne hai uno o due in particolare volentieri appena posso
Salve gentilissimo Albert! non riesco a capire una cosa su un esercizio : xln3<(x+1)ln2 <—> x<(ln2)\(ln3-ln2)
che fine fa l'(x+1)?? perchè nel mio libro da questo risultato? te ne sarei profondamente grato se tu mi aiutassi.. grazie !
xln3<(x+1)ln2
xln3<xln2+ln2
xln3-xln2<ln2
x(ln3-ln2)<ln2
x<(ln2)/(ln3-ln2)
ciao, grazie per gli esercizi sono molto utili.
mi sembra che nel 3 il risultato debba essere 31/10 invece di 41/10
Grazie, ma 41/10 è giusto ;)
Grazie a te per il supporto, in bocca al lupo!
Grazie a te forse riuscirò a passare l’esame di matematica, grazie mille, fantastico! :)
Bene!! Grazie a te del commento!
perfetto… ho finalmente capito come si fanno… grazie… :)
fatto,mi è venuto
Ma all’esercio 8 perché non è -1/2-2?
Perchè log base 8 di 2 è 1/3, e non 1/4: infatti 8^(1/3)=rad terza di 8 = 2
esercizio num 10: ma lg in base 8 di 2 = 1/4, perchè è scritto 1/3?