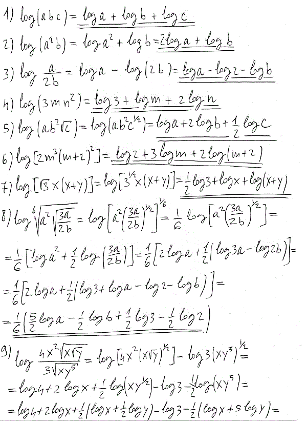
Ciao, scusa nell’esercizio tre, come mai è log a – log 2 – log b ,invece che log a – log 2 + log b ? Rispondi
Ciao, scusa nell’esercizio tre, come mai è log a – log 2 – log b ,invece che log a – log 2 + log b ?
Perchè verrebbe log a – (log 2 + log b) = log a – log 2 – log b