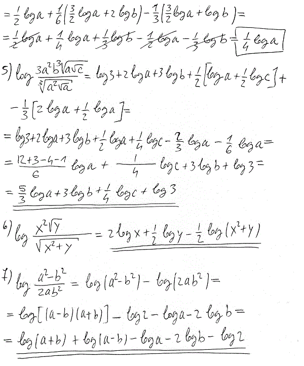
esercizio 7 – penultimo passaggio: non dovrebbe essere log[(a-b) (a+b)] -log2+loga+logb ????? Rispondi
Trovandosi al denominatore, il segno – ti cambia il segno positivo di loga e di logb (è lo stesso segno che ti ha fatto diventare negativo il log2)
esercizio 7 – penultimo passaggio:
non dovrebbe essere log[(a-b) (a+b)] -log2+loga+logb ?????
Trovandosi al denominatore, il segno – ti cambia il segno positivo di loga e di logb (è lo stesso segno che ti ha fatto diventare negativo il log2)