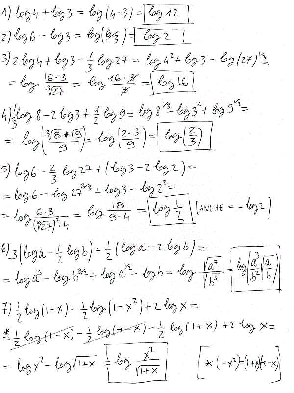
Tenendo presenti i teoremi sui logaritmi ridurre a unico logaritmo ciascuna delle seguenti espressioni dove tutti i logaritmi si suppongono essere nella stessa base:
5 thoughts on “Logaritmi – Batteria 14”
nell’ ultimo esercizio c’ è un 1 o una I?? io ho semplificato log 1 = 0… e mi è uscito come risultato 1/2 log x
nell’ ultimo esercizio c’ è un 1 o una I??
io ho semplificato log 1 = 0… e mi è uscito come risultato 1/2 log x
uno, ma non puoi semplificarlo così…
Ciao scusa ho capito tutti i procedimenti a parte la soluzione dell’esercizio 6
niente risolto :)
Questo commento è stato eliminato dall’autore.