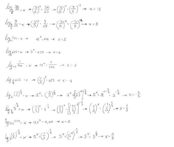
Ha scritto 2^-1 al posto di 1/2, perché 2 è il reciproco di 1/2 e occorre la base 2 per uguagliare gli esponenti e risolvere l’equazione. Per fare il reciproco di un numero bisogna invertire numeratore e denominatore e mettere il segno negativo all’esponente. Quindi in questo caso (1/2)^1 = 2^-1. Se vuoi ulteriori chiarimenti scrivimi per mail e sarò felice di spiegarti meglio.
Ciao, nella settima ad 1/2 aggiungi l’esponente -1, con quale criterio hai potuto metterlo?(ad esempio non l’hai aggiunto anche all’altro membro
ha commesso solo un errore, era -1/2
Ha scritto 2^-1 al posto di 1/2, perché 2 è il reciproco di 1/2 e occorre la base 2 per uguagliare gli esponenti e risolvere l’equazione. Per fare il reciproco di un numero bisogna invertire numeratore e denominatore e mettere il segno negativo all’esponente. Quindi in questo caso (1/2)^1 = 2^-1. Se vuoi ulteriori chiarimenti scrivimi per mail e sarò felice di spiegarti meglio.
Questo commento è stato eliminato dall’autore.