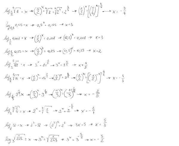
ciao, nel penultimo esercizio non ho capito perchè si fa due alla terza alla x = 2 alla quinta ed ottenere 3x=5? mi spieghi la regola per favore? Grazie Rispondi
Nell’esercizio numero 5, come fai a trovarti 4/5?
Per me il risultato corretto è 3/5……
ciao,
nel penultimo esercizio non ho capito perchè si fa due alla terza alla x = 2 alla quinta ed ottenere 3x=5? mi spieghi la regola per favore? Grazie
La prima è sbagliata, 2 alla -1=1/2
nell’esercizio 6 come si fa ad ottenere da 16*1/5 = 2*4/5
16^(1/5)=
= (2^4)^(1/5) =
= 2^(4*1/5) = 2^(4/5)
il 7 è meno 2/5
si hai ragione: ho modificato, ora è giusto, grazie!