Calcolare il valore dei seguenti logaritmi:
una serie di esercizi buoni ma scritti a mano
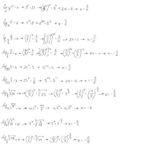
non capisco la numero 8, qualcuno può spiegarmi? grazie in anticipo :)
Penso sia questo il punto:
100/9 = (10/3)^2 = (3/10)^(-2) = 0,3^(-2)
scusa la 8 no la 9
si hai ragione: ho modificato, ora è giusto, grazie!
la 9 è -2
Il tuo indirizzo email non sarà pubblicato. I campi obbligatori sono contrassegnati *
Commento *
Nome *
Email *
Sito web
Δ
una serie di esercizi buoni ma scritti a mano
non capisco la numero 8, qualcuno può spiegarmi? grazie in anticipo :)
Penso sia questo il punto:
100/9 = (10/3)^2 = (3/10)^(-2) = 0,3^(-2)
scusa la 8 no la 9
si hai ragione: ho modificato, ora è giusto, grazie!
la 9 è -2