esercizi molto utili, seguendo la procedura ci si accorge degli eventuali errori fatti,grazie Rispondi
esercizi molto utili, seguendo la procedura ci si accorge degli eventuali errori fatti,grazie
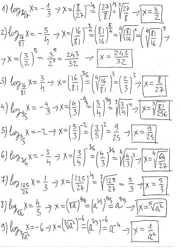
perchè nell’esercizio 2 si porta l’elevazione a potenza al difuori della radice?
Ma nell’ esercizio 9 come fa a elevato a 2/3 elevato a -6 a diventare a elevato a -4?
2/3 * (-6) = -4