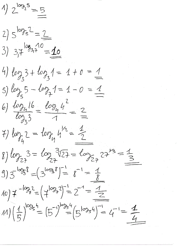
Se ho capito bene, la spiegazione dovrebbe stare nella frase “La funzione logaritmo in base a è la funzione inversa della funzione esponenziale in base a.” Infatti come vedi nell’esercizio 1, la base della potenza è uguale alla base del logaritmo che si trova all’esponente. poiché sono uno l’inverso dell’altro, si annullano e resta solo l’argomento del logaritmo. così ho interpretato io almeno xD
2log3 con argomento 6 – ( meno) log3 con argomento 4
2 log base 3 di 6 arg = log base 3 di 36
log base 3 di 36 – log base 3 di 4 =log base 3 (36/4) = log base 3 di 9 = log base 3 di 3**2
per def di log = 2
come si risolve questa?? non riesco a trovare la soluzione esatta
non capisco i primi esercizi… me li potresti spiegare?
Se ho capito bene, la spiegazione dovrebbe stare nella frase “La funzione logaritmo in base a è la funzione inversa della funzione esponenziale in base a.” Infatti come vedi nell’esercizio 1, la base della potenza è uguale alla base del logaritmo che si trova all’esponente. poiché sono uno l’inverso dell’altro, si annullano e resta solo l’argomento del logaritmo. così ho interpretato io almeno xD
2log3 con argomento 6 – ( meno) log3 con argomento 4
2 log base 3 di 6 arg = log base 3 di 36
log base 3 di 36 – log base 3 di 4 =log base 3 (36/4) = log base 3 di 9 = log base 3 di 3**2
per def di log = 2
come si risolve questa?? non riesco a trovare la soluzione esatta
6 4
2log3 – log3
no no scusa ho sbagliato
Ok ;)
la n°6 non dovrebbe essere 1 e non 2? xkè x il logaritmo quoziente è uguale alla differenza tra il logaritmo del numeratore e quello del denominatore