2 thoughts on “Scomposizioni – Esercizi di riepilogo 2”
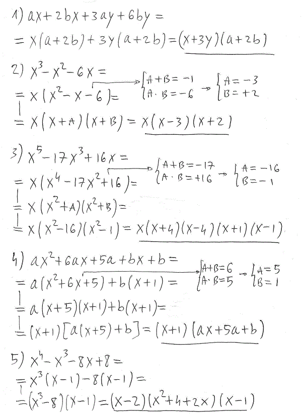
Si è un sistema, argomento che affronterai più avanti, ma qui il ragionamento è semplice e riguarda la scomposizione in fattori del trinomio speciale: devi trovare due numeri A e B la cui somma sia uguale al termine noto -1, e il cui prodotto sia uguale al coefficiente della x di primo grado -6. Lo puoi fare a mente cercando tra i divisori di -6 e trovi subito +2 e -3. A questo punto il trinomio si scompone come (x+2)(x-3)
Una domanda: l’esercizio 2) non lo riesco a fare, è perché si tratta di qualcosa che vedrò più avanti (ho fatto solo il primo anno di superiori) oppure perché sono io che non mi ricordo cosa ci fa un Sistema (è un Sistema, vero?) là in mezzo? O.o Grazie mille… e beh, come sempre complimenti ^^
Si è un sistema, argomento che affronterai più avanti, ma qui il ragionamento è semplice e riguarda la scomposizione in fattori del trinomio speciale: devi trovare due numeri A e B la cui somma sia uguale al termine noto -1, e il cui prodotto sia uguale al coefficiente della x di primo grado -6. Lo puoi fare a mente cercando tra i divisori di -6 e trovi subito +2 e -3. A questo punto il trinomio si scompone come
(x+2)(x-3)
Una domanda: l’esercizio 2) non lo riesco a fare, è perché si tratta di qualcosa che vedrò più avanti (ho fatto solo il primo anno di superiori) oppure perché sono io che non mi ricordo cosa ci fa un Sistema (è un Sistema, vero?) là in mezzo? O.o
Grazie mille… e beh, come sempre complimenti ^^
Eva.