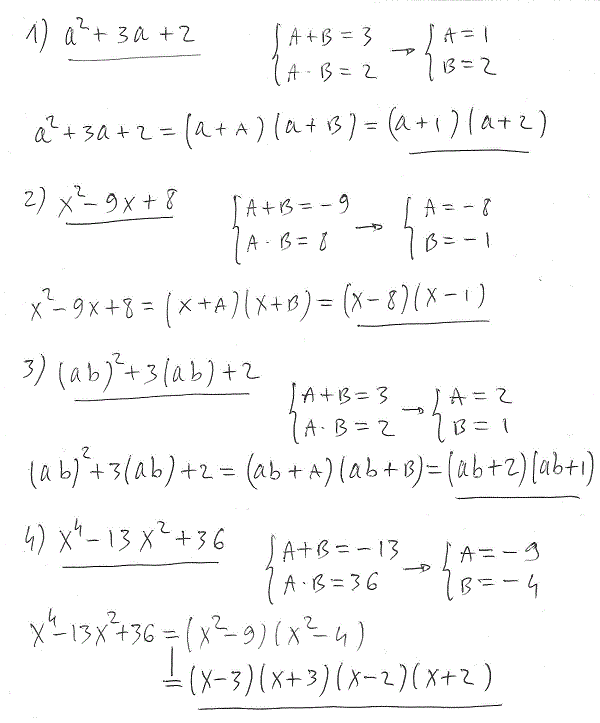
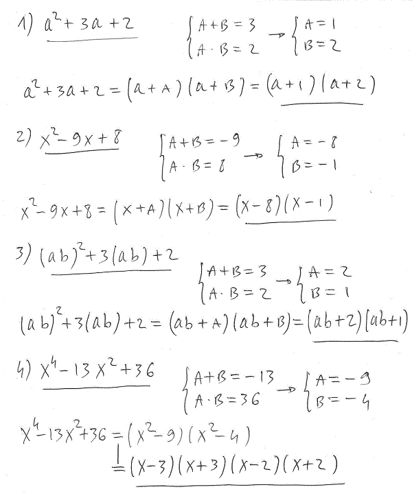
Scomporre in fattori i seguenti trinomi particolari:
Questo si chiama trinomio notevole il bello è che dovresti essere insegnante e saperlo !
sono passati 8 anni dal tuo commento 😳
Il tuo indirizzo email non sarà pubblicato. I campi obbligatori sono contrassegnati *
Commento *
Nome *
Email *
Sito web
Δ
Questo si chiama trinomio notevole il bello è che dovresti essere insegnante e saperlo !
sono passati 8 anni dal tuo commento 😳