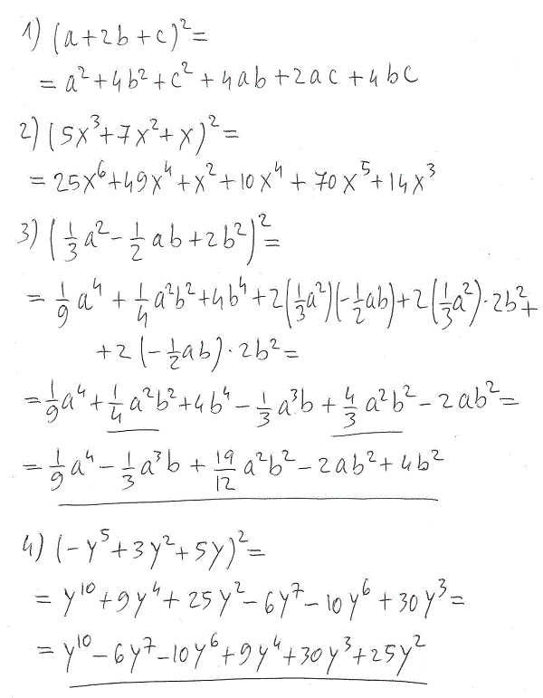
Calcolare i seguenti quadrati di trinomio:
Nella 3 ci sono due errori
c’è un errore sul numero 3: -2ab^3
Il tuo indirizzo email non sarà pubblicato. I campi obbligatori sono contrassegnati *
Commento *
Nome *
Email *
Sito web
Δ
Nella 3 ci sono due errori
c’è un errore sul numero 3: -2ab^3