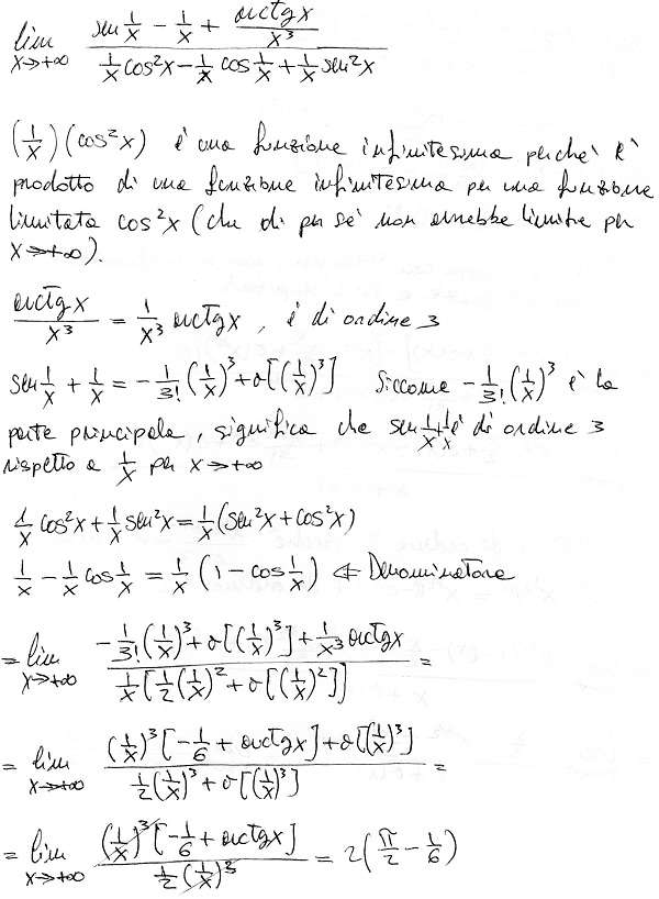
Esercizio 1:
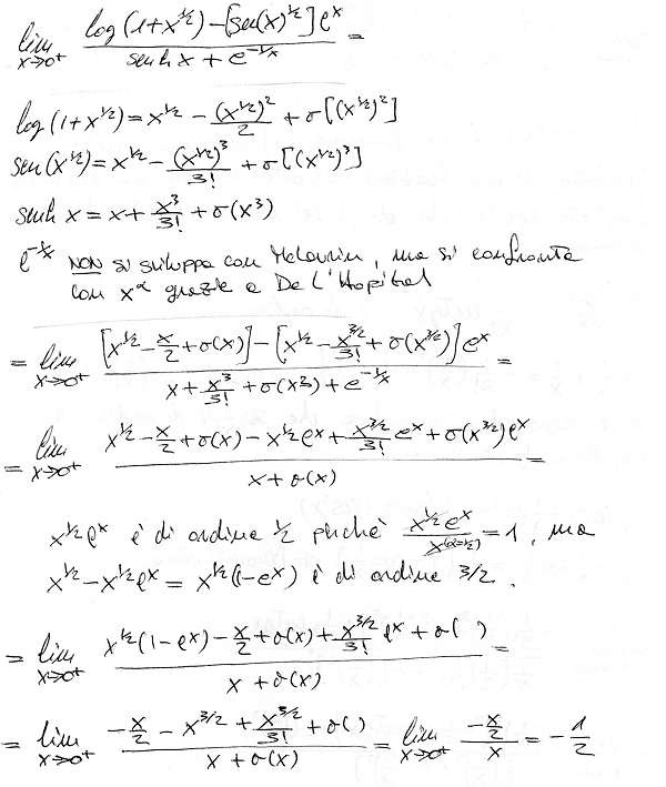
Esercizio 2:
Lo sviluppo di McLaurin del logarimto nel !° esercizio è errato
dovevi prima sostituire y=1/x non poi farlo direttamente così… la x->infinito
Ciao, nel primo esercizio non riesco a capire perché il denominatore diventa x+o(x)?
Perchè x^1 è il grado minimo, x^3 e e^(-1/x) sono di grado superiore
Il tuo indirizzo email non sarà pubblicato. I campi obbligatori sono contrassegnati *
Commento *
Nome *
Email *
Sito web
Δ
Lo sviluppo di McLaurin del logarimto nel !° esercizio è errato
dovevi prima sostituire y=1/x non poi farlo direttamente così… la x->infinito
Ciao, nel primo esercizio non riesco a capire perché il denominatore diventa x+o(x)?
Perchè x^1 è il grado minimo, x^3 e e^(-1/x) sono di grado superiore