Scarica tutti i 101 studi in formato PDF e sostieni il progetto Matepratica con soli 3,99€: clicca qui per effettuare il pagamento, riceverai subito un link via mail dove poter scaricare uno Zip con tutti gli studi pubblicati sul sito in versione PDF. Per ulteriori info scrivi a info@matepratica.it
Scarica tutti i 101 studi in formato PDF e sostieni il progetto Matepratica con soli 3,99€: clicca qui per effettuare il pagamento, riceverai subito un link via mail dove poter scaricare uno Zip con tutti gli studi pubblicati sul sito in versione PDF. Per ulteriori info scrivi a info@matepratica.it



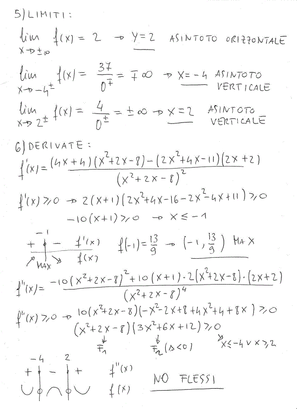
ciao vorrei capire il passaggio nella derivata prima dove il (2x+2) viene tolto. Non riesco a capire il procedimento. Grazie
Ciao Albert ma che scomposizione hai fatto nella derivata seconda che non mi torna.. non riesco a capire
Salve!
Non riesco proprio a capire come funzioni la derivata seconda.
Mille grazie!
Questo commento è stato eliminato dall’autore.
non riesco a capire come arrivi a 2 ( x + 1 ) ( 2x^2 + 4x – 16 – 2x^2 – 4x + 11 ), fai qualche scomposizione???
nella parte della derivata prima
ciao albert,
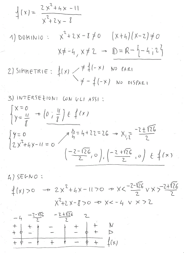
come si fa ad ottenere 26 come delta nello studio del segno?
vedi commento 5a
albert ma perche il risultato del delta del numeratore della funzione che è 104 lo dividi per 4???
Uso il delta quarti, si tratta di una formula più semplice che si può usare quando b è pari:
D/4 = (b/2)^2 -ac
x_1,2 = (-b/2 +-rad(D/4)) / a
a me non torna l’asintoto verticale, quando fai il lim che tende a 4 di f(x) al numeratore torna 37, ma al denominatore se sostituisco 4 a (x^2+2x-8) non torna 0 ma 16!!
Come fa a tornarvi 37 il numeratore? A me da 5, sia nel limite che tende a -4 sia in quello che tende a 2
Si avete ragione, grazie della segnalazione. Non cambia niente ai fini del calcolo del limite:
lim k/0=inf
ciao Albert, nella derivata seconda, perchè nell ultimo passaggio al numeratore moltiplichi per 2x+2?
La derivata non è del tipo x^n che derivata diventa nx^n-1?
E’ come se stessi facendo come con i logaritmi, quando si ha log1/2x allora la derivata è 1/2x*2 (cioè 1 diviso l argomento, per la derivata dell’argomento)?
Si devi moltiplicare per la derivata della funzione interna (che in questo caso è la base che viene elevata alla n)
CIAO ALBERT, NELLA DERIVATA SECONDA IL DENOMINATORE DIVIENE UN QUADRATO E PER QUESTO NN LO CONSIDERI NEL CALCOLO DEL SEGNO?
Si esatto, è sempre positivo nel dominio
ciao albert.. quando poni la derivata prima maggiore uguale a zero, come fa ad uscire x<= -1?
-10(x+1)>=0
divido a dx e sx per -10:
x+1<=0 –> x<=-1
ciao Albert…mi spieghi come fa ad uscire 2 nell’asintoto orizzontale?
Raccolgo al numeratore e denominatore la x di grado massimo (2), qui hai degli esempi:
http://www.matepratica.info/2012/02/limiti-di-funzioni-razionali-fratte_24.html