Scarica tutti i 101 studi in formato PDF e sostieni il progetto Matepratica con soli 3,99€: clicca qui per effettuare il pagamento, riceverai subito un link via mail dove poter scaricare uno Zip con tutti gli studi pubblicati sul sito in versione PDF. Per ulteriori info scrivi a info@matepratica.it
Scarica tutti i 101 studi in formato PDF e sostieni il progetto Matepratica con soli 3,99€: clicca qui per effettuare il pagamento, riceverai subito un link via mail dove poter scaricare uno Zip con tutti gli studi pubblicati sul sito in versione PDF. Per ulteriori info scrivi a info@matepratica.it



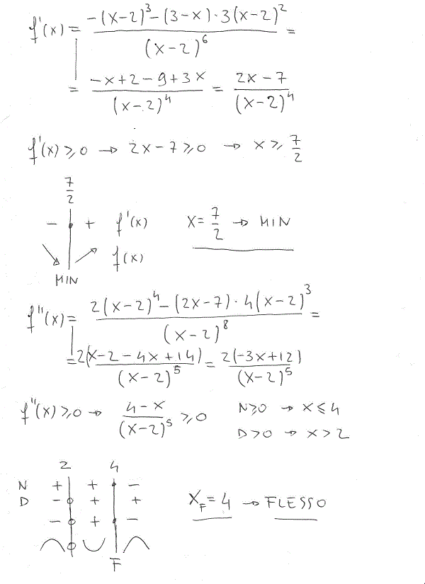
Ciao Albert scusami il disturbo, volevo sapere perchè nella derivata seconda hai moltiplicato il 2 a inizio riga anche con la parte successiva alla sottrazione del numeratore?
Ciao albert, intanto ti ringrazio moltissimo e volevo chiederti i passaggi della derivata prima e cosa cambia se io la risolvo senza semplificare,grazie
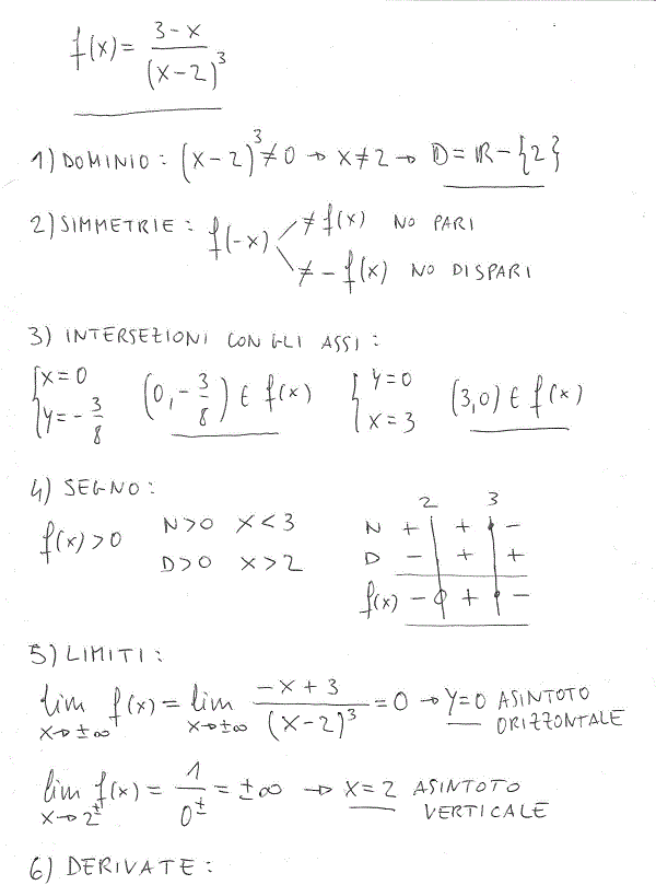
salve, una domanda perché non si calcola il limite tendete a 3 più e meno?? in teoria si verifica un asintoto verticale .. giusto?
Penso abbia usato de l’hopital, e alla fine da 0/inf = 0. Comunque attendiamo conferma.
perchè il denominatore ha grado 3 e il numeratore ha grado 1 (quindi inferiore). In alternativa puoi sviluppare il denominatore e poi raccogliere la x di grado massimo sia al num che al den: ti risulterà un k/inf che va azero
come mai il limite per x->+o-infinito da 0?
Ciao Albert, ma come mai alla D’ studi solo x>= 7/2 e non anche x>2???? grazieeee :'(
il denominatore è una potenza ad esponente pari (4) ed è quindi sempre positiva
Ciao Albert!! Mi potresti togliere una curiosità?? come mai quando studi il segno della funzione alcune volte studi y>= alla funzione e alcune volte y> alla funzione senza uguale?? eppure le funzioni sono sempre razionali fratte!! immensamente grazie!!!
è la stessa cosa, solo che se studi anche l’uguale ritrovi le eventuali intersezioni con l’asse x
Ciao Albert potrei sapere come hai scomposto la derivata seconda?? Grazie
al numeratore ho raccolto (x-2)^3 e l’ho semplificato col denominatore che diventa elevato alla quinta