Scarica tutti i 101 studi in formato PDF e sostieni il progetto Matepratica con soli 3,99€: clicca qui per effettuare il pagamento, riceverai subito un link via mail dove poter scaricare uno Zip con tutti gli studi pubblicati sul sito in versione PDF. Per ulteriori info scrivi a info@matepratica.it
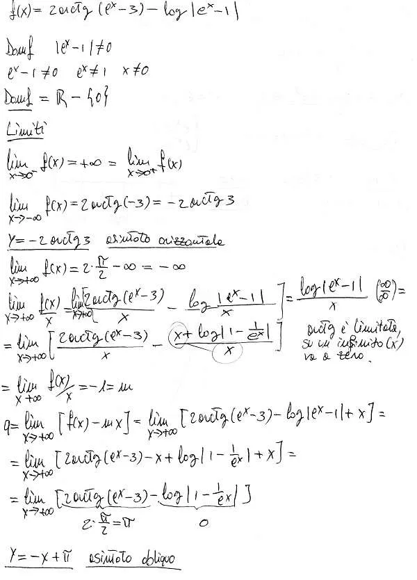
Studiare il grafico della seguente funzione:
Scarica tutti i 101 studi in formato PDF e sostieni il progetto Matepratica con soli 3,99€: clicca qui per effettuare il pagamento, riceverai subito un link via mail dove poter scaricare uno Zip con tutti gli studi pubblicati sul sito in versione PDF. Per ulteriori info scrivi a info@matepratica.it


Una domanda: perché nel calcolo dell’asintoto obliquo q viene pigreco?sotto il limx->+inf di 2arctg(e^x-3) c’è scritto 2*pigreco/2= pigreco… ma perché viene questo risultato?
No è giusto così, perchè i passaggi sono i seguenti:
log|e^x -1|=
raccolgo e^x :
log(e^x *|-1 +1/e^x|)=
posso cambiare segni dentro il valore assoluto:
log(e^x *|1 -1/e^x|)=
sfrutto la proprietà per la quale il logaritmo di un prodotto è uguale alla somma dei logaritmi:
log(e^x) +log|1 -1/e^x|=
x +log|1 -1/e^x|
Una domanda, sul calcolo del limite a +infinito perchè diventa x + log|1-(1/e^x)| ? Non è * al posto del +?
Per studiarne il segno elimino la prima frazione che ha numeratore e denominatore sempre positivi.
Scusami albert non ho capito come semplifichi la derivata prima!
Ciao, perchè dici che è sbagliata?
Questa è la funzione:
http://www.wolframalpha.com/input/?i=2arctan%28e^x+-3%29+-ln|e^x+-1|
Si ha un minimo in ln2 e un massimo in ln6, come viene nell’esercizio.
La derivata è sbagliata